Repaso: rapidez de un móvil que se mueve con aceleración constante (6426)

, por F_y_Q

Un móvil recorre 320 m en un tiempo de 20 s y con una aceleración de 8\ \textstyle{m\over s^2}. Calcula la rapidez del móvil.

P.-S.

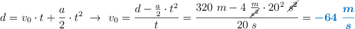
En primer lugar debes calcular la velocidad inicial del móvil:

d = v_0\cdot t + \frac{a}{2}\cdot t^2\ \to\ v_0 = \frac{d - \frac{a}{2}\cdot t^2}{t} = \frac{320\ m - 4\ \frac{m}{\cancel{s^2}}\cdot 20^2\ \cancel{s^2}}{20\ s} = \color[RGB]{0,112,192}{\bm{- 64\ \frac{m}{s}}}

Ahora calculas la velocidad del móvil:

v = v_0 + at = - 64\ \frac{m}{s} + 8\ \frac{m}{s\cancel{^2}}\cdot 20\ \cancel{s} = \fbox{\color[RGB]{192,0,0}{\bm{96\ \frac{m}{s}}}}