Repaso: masa y porcentaje de plomo en una muestra (5870)

, por F_y_Q

Una muestra de 912 mg se encontró que contiene 34.8\ \% de \ce{PbSO4}:

a) ¿Cuántos mg de plomo están contenidos en la muestra?

b) ¿Cuál es el porcentaje de plomo en la muestra?

Masas atómicas: S = 32 ; O = 16 ; Pb = 207.2

P.-S.

En primer lugar, calculas la masa molecular del \ce{PbSO4}, expresada en miligramo por milimol, para poder relacionar la masa de plomo que hay en la muestra, dado que el porcentaje del enunciado hace referencia al \ce{PbSO4}:

M_{\ce{PbSO4}}:\ 1\cdot 207.2 + 1\cdot 32 + 4\cdot 16 = \color[RGB]{0,112,192}{\bm{303.2\ mg\cdot mmol^{-1}}}

a) A partir de la masa de muestra y de la masa molecular del sulfato de plomo(II), calculas la masa de plomo:

912\ \cancel{\text{mg\ M}}\cdot \frac{34.8\ \cancel{\ce{mg\ PbSO4}}}{100\ \cancel{\text{g\ M}}}\cdot \frac{207.2\ \ce{mg\ Pb}}{303.2\ \cancel{\ce{mg\ PbSO4}}} = \fbox{\color[RGB]{192,0,0}{\textbf{217 mg Pb}}}


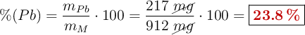
b) El porcentaje de plomo es:

\%(Pb) = \frac{m_{Pb}}{m_{M}}\cdot 100 = \frac{217\ \cancel{mg}}{912\ \cancel{mg}}\cdot 100 = \fbox{\color[RGB]{192,0,0}{\bf 23.8\ \%}}