Repaso: lanzamiento vertical hacia arriba y conservación de la energía (6038)

, por F_y_Q

Se arroja verticalmente hacia arriba una pelota con una velocidad de 20 m/s, desde lo alto de un edificio de 10 m de altura. Calcula:

a) La altura máxima que alcanza la pelota.

b) Velocidad con la que llega al suelo.

P.-S.

La resolución que voy a hacer del problema no es cinemática sino a partir de la conservación de la energía. En ausencia de rozamiento debe conservarse la energía mecánica de la pelota. Considero que la altura inicial es 10 m y la velocidad inicial son los 20 m/s.
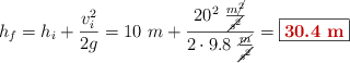
a) Cuando alcance el punto de máxima altura, la energía mecánica de la pelota solo tendrá componente potencial porque su velocidad será nula:

E_M(i) = E_M(f)\  \to\ \cancel{m}gh_i + \frac{\cancel{m}}{2}v_i^2 = \cancel{m}gh_f

Despejamos el valor de la altura final y sustituimos:

h_f = h_i + \frac{v_i^2}{2g} = 10\ m + \frac{20^2\ \frac{m\cancel{^2}}{\cancel{s^2}}}{2\cdot 9.8\ \frac{\cancel{m}}{\cancel{s^2}}} = \fbox{\color[RGB]{192,0,0}{\bf 30.4\ m}}


b) Cuando la pelota llegue al suelo, su energía mecánica solo tendrá componente cinética:

\cancel{m}gh_i + \frac{\cancel{m}}{2}v_i^2  = \cancel{m}gh_f

Despejamos el valor de la velocidad final y sustituimos:

v_f = \sqrt{2gh_i + v_i^2} = \sqrt{2\cdot 9.8\ \frac{m}{s^2}\cdot 10\ m + 20^2\ \frac{m^2}{s^2}} = \fbox{\color[RGB]{192,0,0}{\bm{24.4\ \frac{m}{s}}}}