Repaso: densidad, fuerza y presión en un trineo cargado de madera (7018)

, por F_y_Q

Pedro sabe que para circular sin problema puede cargar en su trineo unos 275\ dm^3 de madera, que son más o menos 200 kg de madera de roble.

1. Calcula la densidad de la madera que transporta en unidades SI?

2. ¿Qué presión ejercerán los 200 kg de madera sobre los esquís de su trineo que tienen una superficie de 0.75\  m^2?

3. Le han ofrecido transportar aluminio. Se trata de llevar 370\ dm^3, de densidad 2.7\ \textstyle{g\over cm^3} . ¿Podrá llevarlos con seguridad en su trineo en un solo viaje? Si no es así, ¿cuántos viajes tendrá que dar?

P.-S.

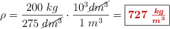
1. La densidad de la madera de roble la obtienes si haces el cociente entre la masa y el volumen que ocupa:

\rho = \frac{200\ kg}{275\ \cancel{dm^3}}\cdot \frac{10^3 \cancel{dm^3}}{1\ m^3} = \fbox{\color[RGB]{192,0,0}{\bm{727\ \frac{kg}{m^3}}}}


2. La presión es el cociente entre el peso de la madera, que es el producto de la masa por la gravedad, y la superficie de los esquís:

P = \frac{m\cdot g}{S} = \frac{200\kg\cdot 9.8\ \frac{m}{s^2}}{0.75\ m^2} = \fbox{\color[RGB]{192,0,0}{\bf 2\ 613\ Pa}}



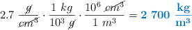
3. Si conviertes el dato de la densidad del aluminio a la misma unidad en la que has calculado puedes comparar ambos valores:

2.7\ \frac{\cancel{g}}{\cancel{cm^3}}\cdot \frac{1\ kg}{10^3\ \cancel{g}}\cdot \frac{10^6\ \cancel{cm^3}}{1\ m^3} = \color[RGB]{0,112,192}{\bf 2\ 700\ \frac{kg}{m^3}}

Como la densidad del aluminio es MAYOR que la de la madera de roble, no será seguro transportar un mayor volumen de aluminio porque será mayor la masa y la presión.

La masa que corresponde al volumen de aluminio que se le ha propuesto es:

\rho = \frac{m}{V}\ \to\ m = \rho\cdot V = 2\ 700\ \frac{kg}{\cancel{m^3}}\cdot 0.75\ \cancel{m^3} = \color[RGB]{0,112,192}{\bf 2\ 025\ kg}

Tendrá que dar diez viajes cargado con 200 kg y otro más con solo 25 kg de aluminio.