Repaso: concentración de una disolución de ácido nítrico (7758)

, por F_y_Q

Determina la concentración en porcentaje en masa que obtenemos al disolver 27g de ácido nítrico (\ce{HNO3}) en un volumen final de 100 mL. La densidad de la solución es 1.04\ \textstyle{g\over mL}, ¿cuál será la concentración de esta solución en g/L?

P.-S.

Como conoces el volumen final de la disolución y la densidad de esta puedes calcular la masa total de la disolución:

m_D = \rho_D\cdot V_D = 1.04\ \frac{g}{\cancel{mL}}\cdot 100\ \cancel{mL} = \color[RGB]{0,112,192}{\bf 104\ g}

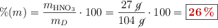
El porcentaje en masa es:

\%(m) = \frac{m_{\ce{HNO3}}}{m_D}\cdot 100 = \frac{27\ \cancel{g}}{104\ \cancel{g}}\cdot 100 = \fbox{\color[RGB]{192,0,0}{\bf 26\%}}


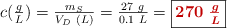
La concentración en g/L la obtienes si expresas el volumen de la disolución en litros y haces el cociente:

c(\textstyle{g\over L}) = \frac{m_S}{V_D\ (L)} = \frac{27\ g}{0.1\ L} = \fbox{\color[RGB]{192,0,0}{\bm{270\ \frac{g}{L}}}}