Repaso: aplicación de la ley de Coulomb (7246)

, por F_y_Q

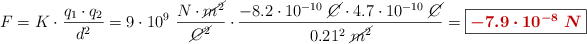
Calcula la fuerza eléctrica que actúa sobre una esfera cargada negativamente con una carga de -0.82\ \mu C cuyo centro se encuentra separado 21 cm del centro de otra esfera cargada con 0.47\ \mu C .

P.-S.

Solo tienes que aplicar la ley de Coulomb pero haciendo un buen tratamiento de las unidades:

F = K\cdot \frac{q_1\cdot q_2}{d^2} = 9\cdot 10^9\ \frac{N\cdot \cancel{m^2}}{\cancel{C^2}}\cdot \frac{-8.2\cdot 10^{-10}\ \cancel{C}\cdot 4.7\cdot 10^{-10}\ \cancel{C}}{0.21^2\ \cancel{m^2}} = \fbox{\color[RGB]{192,0,0}{\bm{-7.9\cdot 10^{-8}\ N}}}}


El signo menos indica que la fuerza es de atracción.