Repaso: Fórmulas mínima y molecular de un ácido orgánico a partir de su neutralización (6689)
Un ácido orgánico está compuesto por
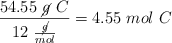
de C;
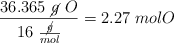
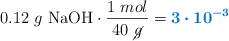
de O, y el resto de H. Para neutralizar completamente 0.264 g del mismo, se requieren 0.12 g de
. Determina sus fórmulas mínima y molecular, sabiendo que su masa molecular es
.
Ejercicios FyQ