Rendimiento de la reacción entre yodato de potasio e hidracina (6153)

, por F_y_Q

El yodato de potasio sólido (\ce{KIO_3}), reacciona con la hidracina líquida (\ce{N_2H_4}), para dar:

\ce{2KIO3(s) + 3N2H4(l) -> 2KI(s) + 3N2(g) + 6H2O(l)}

Si se someten a reacción 500 g de yodato de potasio con 200 g de hidracina, determina:

a) La masa sobrante del reactivo en exceso.

b) La masa de yoduro de potasio (KI), que se forma con 100 g de \ce{KIO_3} y un exceso de \ce{N_2H_4}.

c) El rendimiento de la reacción si, al reaccionar 15.1 g de \ce{N_2H_4} y un exceso de \ce{KIO_3}, se obtienen experimentalmente 35.50 g de KI.

Masas atómicas: I = 127 u; N = 14 u; H = 1 u; O = 16 u; K = 39 u.

P.-S.

Voy a resolver el ejercicio a partir de las relaciones másicas entre los reactivos y productos, dado que el problema siempre hace referencia a masas. Las masas moleculares de las sustancias a las que hacen referencia los apartados del problema, a partir de las masas atómicas, son:

\color[RGB]{0,112,192}{\bf{M_{\ce{KIO3}} = 214\ u}} ; \color[RGB]{0,112,192}{\bf{M_{\ce{N2H4}} = 32\ u}} ; \color[RGB]{0,112,192}{\bm{M_{KI} = 166\ u}} ; \color[RGB]{0,112,192}{\bm{M_{\ce{N2}} = 28\ u}} ; \color[RGB]{0,112,192}{\bm{M_{\ce{H2O}} = 18\ u}}

Si tienes en cuenta la estequiometría de la reacción, las relaciones de las masas son:

\ce{\underset{\color[RGB]{0,112,192}{\bf 428}}{\ce{2KIO3(s)}} + \underset{\color[RGB]{0,112,192}{\bf 96}}{\ce{3N2H4(l)}} -> \underset{\color[RGB]{0,112,192}{\bf 332}}{\ce{2KI(s)}} + \underset{\color[RGB]{0,112,192}{\bf 84}}{\ce{3N2(g)}} + \underset{\color[RGB]{0,112,192}{\bf 108}}{\ce{6H2O(l)}}}


a) Determinas quién es el reactivo limitante haciendo la relación entre los dos reactivos:

\frac{428\ g\ \ce{KIO3}}{96\ g\ \ce{N2H4}} = \frac{500\ g\ \ce{KIO3}}{x}\ \to\ x = \frac{500\ \cancel{\ce{g\ KIO3}}\cdot 96\ \ce{g\ N2H4}}{428\ \cancel{\ce{g\ KIO3}}} = \color[RGB]{0,112,192}{\textbf{112.15 g \ce{N2H4}}}

Esto quiere decir que el reactivo limitante es el \bf \ce{KIO3} porque dispones de más masa de hidracina de la que has calculado. La masa de hidracina que sobra es:

m_{\ce{N2H4}} = (200 - 112.15)\ g\ = \fbox{\color[RGB]{192,0,0}{\bf 87.85\ g}}


b) Ahora relacionas las masas del yodato y del yoduro de potasio:

\frac{428\ \ce{g\ KIO3}}{332\ \ce{g\ KI}} = \frac{100\ \ce{g\ KIO3}}{x}\ \to\ x = \frac{100\ \cancel{\ce{g\ KIO3}}\cdot 332\ \ce{g\ KI}}{428\ \cancel{\ce{g\ KIO3}}} = \fbox{\color[RGB]{192,0,0}{\bf 77.57\ g\ KI}}


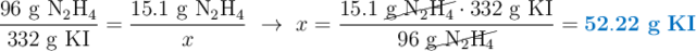
c) Para poder averiguar el rendimiento de la reacción debes calcular la masa de KI que habría que obtener si el rendimiento fuese del cien por cien y luego haces el porcentaje:

\frac{96\ \ce{g\ N2H4}}{332\ \ce{g\ KI}} = \frac{15.1\ \ce{g\ N2H4}}{x}\ \to\ x = \frac{15.1\ \cancel{\ce{g\ N2H4}}\cdot 332\ \ce{g\ KI}}{96\ \cancel{\ce{g\ N2H4}}} = \color[RGB]{0,112,192}{\bf 52.22\ g\ KI}

El rendimiento es:

\eta = \frac{m_{obt}}{m_{teor}}\cdot 100 = \frac{35.5\ \cancel{g}}{52.22\ \cancel{g}}\cdot 100 = \fbox{\color[RGB]{192,0,0}{\bf 68\ \%}}