Relación estequiométrica entre reactivo y moles de gas 0001

, por F_y_Q

El trinitrato de glicerilo, conocido como nitroglicerina, es un explosivo de gran potencia. Esto se debe principalmente a que su descomposición genera un gran aumento de volumen. La nitroglicerina se utiliza también como medicamento contra la angina de pecho, que es una insuficiencia transitoria del aporte de sangre, oxígeno y nutrientes al corazón, acompañada de un dolor muy intenso. Su acción es tan eficaz, que inmediatamente después de masticar una cápsula de nitroglicerina, sucede una vasodilatación coronaria que incrementa el flujo sanguíneo y mejora la irrigación al corazón. La reacción de descomposición de la nitroglicerina es:

C_3H_5(NO_3)_3\ (l)\ \to\ CO_2\ (g) + H_2O\ (g) + N_2\ (g) + O_2\ (g)

Si cada cápsula de nitroglicerina contiene 0,8 mg de ésta, ¿cuántos moles de gas se producen y qué volumen ocupan a la temperatura del cuerpo humano y la presión de 1,0 atm?

P.-S.

Debemos escribir la reacción ajustada para poder determinar la estequiometría:

2C_3H_5(NO_3)_3\ (l)\ \to\ 6CO_2\ (g) + 5H_2O\ (g) + 3N_2\ (g) + \frac{1}{2}O_2\ (g)


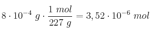
Cada 2 moles de TNT producen 14,5 moles de gas, tal y como se puede ver en la reacción ajustada. Debemos calcular los moles de gas que son los 0,8 mg de TNT. La masa molecular del compuesto es 227 g/mol:

8\cdot 10^{-4}\ g\cdot \frac{1\ mol}{227\ g} = 3,52\cdot 10^{-6}\ mol


Aplicamos la estequiometría:

3,52\cdot 10^{-6}\ mol\ C\cdot \frac{14,5\ mol\ gas}{2\ mol\ C} = \bf 2,55\cdot 10^{-5}\ mol\ gas


El volumen que ocupa, suponiendo una temperatura corporal de 36,5 ºC (309,5 K) es:

V = \frac{nRT}{P} = \frac{2,55\cdot ^{-5}\ mol\cdot 0,082\frac{atm\cdot L}{K\cdot mol}\cdot 309,5\ K}{1\ atm} = \bf 6,47\cdot 10^{-4}\ L