Relación entre frecuencia, longitud de onda y velocidad de propagación (7915)

, por F_y_Q

Una antena emite una onda electromagnética de frecuencia 50 kHz.

a) Calcula su longitud de onda.

b) Determina la frecuencia de una onda sonora de la misma longitud de onda.

Datos: c = 3\cdot 10^8\ m\cdot s^{-1} ; v_{\text{sonido}} = 340\ m\cdot s^{-1}

P.-S.

La resolución del ejercicio se basa en la relación que hay entre las tres magnitudes: frecuencia, longitud de onda y velocidad de propagación.

\color[RGB]{2,112,20}{\bm{v = \lambda\cdot \nu}}

a) Como es una onda electromagnética, la velocidad de propagación que vas a considerar es la velocidad de la luz:

\lambda = \frac{v}{\nu} = \frac{3\cdot 10^8\ m\cdot \cancel{s^{-1}}}{5\cdot 10^4\ \cancel{s^{-1}}} = \fbox{\color[RGB]{192,0,0}{\bm{6\cdot 10^3\ m}}}


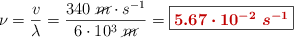
b) Ahora consideras la velocidad del sonido y la misma longitud de onda que has calculado. Despejas la frecuencia y calculas:

\nu = \frac{v}{\lambda} = \frac{340\ \cancel{m}\cdot s^{-1}}{6\cdot 10^3\ \cancel{m}} = \fbox{\color[RGB]{192,0,0}{\bm{5.67\cdot 10^{-2}\ s^{-1}}}}