Refuerzo: variación de la cantidad de movimiento al aplicar una fuerza (7145)

, por F_y_Q

Un objeto posee una masa de 12 kg y se mueve con una velocidad de 32 m/s cuando se le aplica una fuerza de 15 N en la misma dirección y sentido que la velocidad, actuando sobre él durante 6 s. Determina el valor de la velocidad del cuerpo al cabo de 10 s.

P.-S.

El impulso mecánico que se aplica sobre el cuerpo es igual a la variación de la cantidad de movimiento que sufre:

F\cdot t = m\cdot \Delta v\ \to\ \color[RGB]{2,112,20}{\bm{F\cdot t = m\cdot (v - v_0)}}

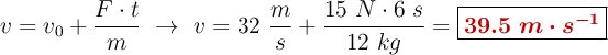
Tras los seis segundos que se aplica la fuerza al objeto, su velocidad volverá a ser constante. La velocidad que adquiere tras la aplicación de la fuerza es:

v = v_0 + \frac{F\cdot t}{m}\ \to\ v = 32\ \frac{m}{s} + \frac{15\ N\cdot 6\ s}{12\ kg} = \fbox{\color[RGB]{192,0,0}{\bm{39.5\ m\cdot s^{-1}}}}


A los diez segundos su velocidad seguirá siendo la calculada porque es constante desde el sexto segundo.