Refuerzo: tiempo y distancia de frenado para un vehículo sobre el que se aplica una fuerza (5995)

, por F_y_Q

Se aplica una fuerza de 15 000 N para frenar un vehículo de 2 500 kg que circulaba a una velocidad de 130 km/h. ¿En qué distancia y tiempo se logró detenerlo?

P.-S.

En primer lugar, calculas la aceleración a la que es sometido el vehículo al aplicarse la fuerza, aplicando la segunda ley de la dinámica:

F = m\cdot a\ \to\ a = \frac{15\ 000\ N}{2\ 500\ kg} = \color[RGB]{0,112,192}{\bm{6\ m\cdot s^{-2}}}

La velocidad inicial del vehículo es, expresada en unidades SI:

130\ \frac{\cancel{km}}{\cancel{h}}\cdot \frac{10^3\ m}{1\ \cancel{km}}\cdot \frac{1\ \cancel{h}}{3.6\cdot 10^3\ s} = \color[RGB]{0,112,192}{\bm{36.1\ m\cdot s^{-1}}}

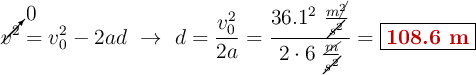
Debes considerar la aceleración negativa porque se opone al movimiento del vehículo. La distancia de frenado la calculas a partir de la ecuación del MRUA que relaciona las velocidades con la aceleración y la distancia:

\cancelto{0}{v^2} = v_0^2 - 2ad\ \to\ d = \frac{v_0^2}{2a} = \frac{36.1^2\ \frac{m\cancel{^2}}{\cancel{s^2}}}{2\cdot 6\ \frac{\cancel{m}}{\cancel{s^2}}} = \fbox{\color[RGB]{192,0,0}{\bf 108.6\ m}}


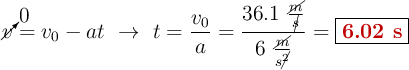
El tiempo de frenado lo calculas con la ecuación que relaciona las velocidades con la aceleración y el tiempo:

\cancelto{0}{v} = v_0 -at\ \to\ t = \frac{v_0}{a} = \frac{36.1\ \frac{\cancel{m}}{\cancel{s}}}{6\ \frac{\cancel{m}}{s\cancel{^2}}} = \fbox{\color[RGB]{192,0,0}{\bf 6.02\ s}}