Refuerzo: potencia que desarrolla un montacargas con rendimiento del 80 por ciento (6622)

, por F_y_Q

Halla la potencia de un montacargas que sube 1 000 kg hasta una altura de 24 m en 60 s con un rendimiento del 80\ \%.

P.-S.

La potencia teórica del montacargas será el cociente entre la variación de la energía potencial que produce y el tiempo que tarda en producirla:

{\color[RGB]{2,112,20}{\bm{P_T = \frac{\Delta E_P}{t}}}} = \frac{m\cdot g\cdot h}{t} = \frac{10^3\ kg\cdot 9.8\ \frac{m}{s^2}\cdot 24\ m}{60\ s} = \color[RGB]{0,112,192}{\bf 3\ 920\ W}

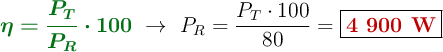
La potencia real del montacargas la puedes obtener de la definición del rendimiento:

{\color[RGB]{2,112,20}{\bm{\eta = \frac{P_T}{P_R}\cdot 100}}}\ \to\ P_R = \frac{P_T\cdot 100}{80} = \fbox{\color[RGB]{192,0,0}{\bf 4\ 900\ W}}