Refuerzo: objeto se mueve dentro de un tren que se desplaza con aceleración (6114)

, por F_y_Q

En el interior de un tren, que parte del reposo y acelera con \vec a = 5\ \vec i\ (m\cdot s^{-2}), un objeto se desliza por el suelo del tren sin rozamiento con \vec v = 10\ \vec i\ (m\cdot s^{-1}) respecto a tierra.

a) ¿Cómo es el movimiento del objeto para un observador que va en el tren? ¿Por qué?

b) ¿Qué tiempo transcurrirá para que el objeto alcance nuevamente su posición original con respecto al vagón?

P.-S.

a) El objeto sigue un movimiento rectilíneo uniforme (MRU) con respecto a un observador en el tren porque ambos, el objeto y el observador, sufren la misma aceleración, es decir, están en un sistema no inercial.

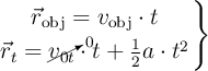
b) Las ecuaciones de la posición del tren y del objeto son:

\left \vec r_{\text{obj}}  = v_{\text{obj}}\cdot t \atop \vec r_t  = \cancelto{0}{v_{0t}}\cdot t + \frac{1}{2}a\cdot t^2 \right \}

Igualas ambas ecuaciones de la posición:

v_{\text{obj}}\cdot \cancel{t} = \frac{a}{2}\cdot t\cancel{^2}\ \to\ {\color[RGB]{2,112,20}{\bm{t = \frac{2v_{obj}}{a}}}}\ \to t = \frac{2\cdot 10\ \frac{\cancel{m}}{\cancel{s}}}{5\ \frac{\cancel{m}}{s\cancel{^2}}} = \fbox{\color[RGB]{192,0,0}{\bf 4\ s}}