Refuerzo: masa de soluto en un volumen de disolución (7450)

, por F_y_Q

Si la densidad del \ce{H2SO4} comercial es de 1.84\ g\cdot mL^{-1} y la pureza del mismo es del 98\ \% en masa.

a) ¿Qué masa de ácido sulfúrico puro se halla disuelto en 2 mL de dicha solución?

b) ¿Qué volumen de solución debe medirse para que en la misma haya 3 g de \ce{H2SO4} ?

P.-S.

Puedes hacer cada uno de los apartados usando los datos de densidad y concentración como factores de conversión:

a) La masa de ácido sulfúrico:

2\ \cancel{\text{mL\ D}}\cdot \frac{1.84\ \cancel{\text{g\ D}}}{1\ \cancel{\text{mL\ D}}}\cdot \frac{98\ \ce{g\ H2SO4}}{100\ \cancel{\text{g\ D}}}= \fbox{\color[RGB]{192,0,0}{\textbf{3.61\ \ce{g\ H2SO4}}}}


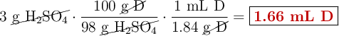
b) El volumen de solución:

3\ \cancel{\ce{g\ H2SO4}}\cdot \frac{100\ \cancel{\text{g\ D}}}{98\ \cancel{\ce{g\ H2SO4}}}\cdot \frac{1\ \text{mL\ D}}{1.84\ \cancel{\text{g\ D}}}= \fbox{\color[RGB]{192,0,0}{\textbf{1.66\ \text{mL\ D}}}}


Descarga el enunciado y la resolución del problema en formato EDICO si lo necesitas.