Refuerzo: fuerza resultante y aceleración de un sistema (5958)

, por F_y_Q

Se aplican dos fuerzas F_{A} y F_{B} a un objeto cuya masa es 8.0 kg. La fuerza mayor es F_{A}. Cuando ambas fuerzas apuntan hacia el este, la aceleración del objeto tiene una magnitud de 0.50\ m\cdot s^{-2}. Sin embargo, cuando F_{A} apunta hacia el este y F_{B} apunta hacia el oeste, la aceleración es de 0.40\ m\cdot s^{-2}, hacia el este. Encuentra los valores de F_{A} y F_{B}.

P.-S.

Si multiplicas los valores de las aceleración por la masa del objeto, tendrás la fuerza resultante en cada situación. Puedes establecer un sistema de ecuaciones en el que relacionas la fuerza resultante en cada caso. Consideras positivo el sentido este, por ejemplo:

\left F_A + F_B  = 8\ kg\cdot 0.5\ m\cdot s^{-2} = {\color[RGB]{0,112,192}{\bf 4\ N}} \atop F_A - F_B = 8\ kg\cdot 0.4\ m\cdot s^{-2} = {\color[RGB]{0,112,192}{\bf 3.2\ N}} \right \}

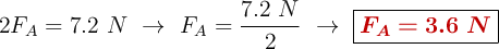
Resolviendo el sistema por reducción, es decir, sumando ambas ecuaciones, obtienes la ecuación:

2F_A = 7.2\ N\ \to\ F_A = \frac{7.2\ N}{2}\ \to\ \fbox{\color[RGB]{192,0,0}{\bm{F_A = 3.6\ N}}}


Como la suma de ambas fuerzas es igual a 4:

F_A + F_B = 4\ \to\ F_B = (4 - 3.6)\ N\ \to\ \fbox{\color[RGB]{192,0,0}{\bm{F_B = 0.4\ N}}}