Refuerzo: composición porcentual de los productos de una combustión (7166)

, por F_y_Q

Una muestra de butanol se hace reaccionar con oxígeno en exceso según la reacción:

\ce{C4H10O(l) + 6O2(g) -> 4CO2(g) + 5H2O(l)}

Se forman 78 g de dióxido de carbono y una cantidad de agua desconocida. Calcula la composición porcentual de la mezcla de productos.

P.-S.

A partir de las masas moleculares de las sustancias presentes en la reacción, puedes establecer la relación másica:

\ce{C4H10O} = 4\cdot 12 + 10\cdot 1 + 1\cdot 16 = \color[RGB]{0,112,192}{\bf 74\ g}
\ce{6O2} = 6\cdot (2 + 16) = \color[RGB]{0,112,192}{\bf 192\ g}
\ce{4CO2} = 4\cdot (1\cdot 12 + 2\cdot 16) = \color[RGB]{0,112,192}{\bf 176\ g}
\ce{5H2O} = 5\cdot (2\cdot 1 + 1\cdot 16) = \color[RGB]{0,112,192}{\bf 90\ g}

Como conoces la masa de \ce{CO2} que se ha producido, puedes calcular la masa de agua:

\frac{90\ g\ \ce{H2O}}{176\ g\ \ce{CO2}} = \frac{x}{78\ g\ \ce{CO2}}\ \to\ x = \frac{90\ g\ \ce{H2O}\cdot 78\ \cancel{g\ \ce{CO2}}}{176\ \cancel{g\ \ce{CO2}}} = \color[RGB]{0,112,192}{\textbf{39.9 g \ce{H2O}}}

La masa total de los productos es:

m_T = (78 + 39.9)\ g= \color[RGB]{0,112,192}{\bf 117.9\ g}

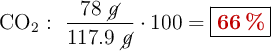
Ahora puedes calcular el porcentaje de cada producto. Como solo son dos productos, calculas uno de ellos y el otro lo obtienes por diferencia:

\ce{CO2}:\ \frac{78\ \cancel{g}}{117.9\ \cancel{g}}\cdot 100 = \fbox{\color[RGB]{192,0,0}{\bf 66\ \%}}


\ce{H2O}:\ (100 - 66)\ \% = \fbox{\color[RGB]{192,0,0}{\bf 34\ \%}}