Refuerzo: choque inelástico de dos carros de juguete (6031)

, por F_y_Q

Un carro de juguete de 3 kg que viaja rectilíneamente con velocidad constante de 10 m/s y choca frontalmente con otro carro de 2 kg de masa que viaja con una velocidad «v». Como consecuencia de la colisión, los carros quedan unidos y con velocidad cero. ¿Cuál es la velocidad «v» del segundo carro?

P.-S.

Al quedar unidos tras el choque, debes considerar la situación un choque perfectamente inelástico, conservándose la cantidad de movimiento del sistema:

\color[RGB]{2,112,20}{\bm{m_1\cdot v_1 + m_2\cdot v_2= (m_1 + m_2)\cdot v_f}}

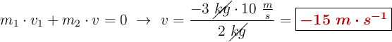
La velocidad final, velocidad tras el choque, es cero. Si sustituyes en la ecuación y despejas el valor de «v»:

m_1\cdot v_1 + m_2\cdot v = 0\ \to\ v = \frac{- 3\ \cancel{kg}\cdot 10\ \frac{m}{s}}{2\ \cancel{kg}} = \fbox{\color[RGB]{192,0,0}{\bm{-15\ m\cdot s^{-1}}}}


El signo negativo indica que la velocidad del segundo carro tiene que ser de sentido contrario a la del primer carro.