Reactivo limitante y masa de producto 0001

, por F_y_Q

El nitrato de plata y el cloruro de calcio reaccionan en disolución. Todas las sustancias que intervienen en esta reacción son solubles en agua salvo el cloruro de plata, que forma un sólido (precipitado) que se sedimenta en el fondo del vaso de precipitado. Supón que mezclamos una disolución que contiene 9,54 g de nitrato de plata y otra que contiene 6,30 g de coluro de calcio. ¿Qué masa de cloruro de plata se formará?

P.-S.

En primer lugar escribimos la reacción debidamente ajustada:

CaCl_2 + 2AgNO_3\ \to\ 2AgCl + Ca(NO_3)_2


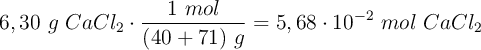
Vamos a convertir las masas de los reactivos en mol para poder aplicar la estequiometría y determinar cuál de ellos es el reactivo limitante:
6,30\ g\ CaCl_2\cdot \frac{1\ mol}{(40 + 71)\ g} = 5,68\cdot 10^{-2}\ mol\ CaCl_2
9,54\ g\ AgNO_3\cdot \frac{1\ mol}{(108 + 14 + 48)\ g} = 5,61\cdot 10^{-2}\ mol\ AgNO_3
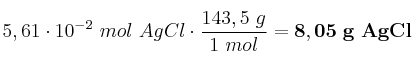
Dado que son dos moles de nitrato de plata los que reaccionan con un mol de cloruro de plata, se acabará antes el AgNO_3, siendo el reactivo limitante. Debemos hacer los cálculos tomando como referencia los moles de nitrato de plata. Se formarán los mismo moles de cloruro de plata porque la relación estequiométrica entre ambos es 2:2:

5,61\cdot 10^{-2}\ mol\ AgCl\cdot \frac{143,5\ g}{1\ mol} = \bf 8,05\ g\ AgCl