Reactivo impuro y relación entre masa y moles

, por F_y_Q

La etiqueta de un bote de reactivo en el laboratorio indica: (NaC_2O_4)\ Pureza:\  88\%.

a) ¿Cuánto producto puro hay en 104 kg de reactivo?

b) ¿Cuántos moles de NaC_2O_4 habrá en esos 104 kg?

P.-S.

a) La masa de producto puro la podemos obtener a partir del dato de la pureza:

104\ kg\ compuesto\cdot \frac{88\ kg\ NaC_2O_4}{100\ kg\ compuesto} = \bf 91,52\ kg\ NaC_2O_4


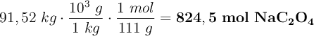
b) Los moles de sustancia se pueden obtener a partir del dato de la masa molecular:
NaC_2O_4:\ 23\cdot 1 + 12\cdot 2 + 16\cdot 4 = 111\ g/mol

91,52\ kg\cdot \frac{10^3\ g}{1\ kg}\cdot \frac{1\ mol}{111\ g} = \bf 824,5\ mol\ NaC_2O_4