Reacciones sucesivas y estequiometría 0001

, por F_y_Q

Al tratar ácido sulfúrico con carbonato de hierro(III) se obtiene un producto que, al reaccionar con hidróxido sódico, da lugar a un precipitado de hidróxido de hierro (III). Si la masa de este precipitado es de 444 g, ¿qué cantidad de carbonato de férrico habría reaccionado en la primera reacción?

P.-S.

Para hacer el problema es necesario escribir las reacciones que tienen lugar y mirar su estequiometría. Vamos a suponer que el rendimiento de los procesos es el 100\% en todos los casos y que son equimoleculares. Las reacciones son:

3H_2SO_4 + Fe_2(CO_3)_3\ \to\ Fe_2(CO_3)_3 + 3H_2CO_3


Fe_2(SO_4)_3 + 6NaOH\ \to\ 2Fe(OH)_3 + 3Na_2SO_4


Podemos ver que la relación estequiométrica entre el hidróxido de hierro(III) y el carbonato de hierro(III) es 2:1. Vamos a determinar los moles de Fe(OH)_3 que se han producido y luego hacemos la estequiometría:

444\ g\ Fe(OH)_3\cdot \frac{1\ mol}{107\ g} = 4,5\ mol\ Fe(OH)_3


4,15\ mol\ Fe(OH)_3\cdot \frac{1\ mol\ Fe_2(CO_3)_3}{2\ mol\ Fe(OH)_3} = 2,08\ mol\ Fe_2(CO_3)_3


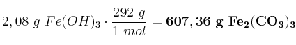
Ya solo nos queda convertir los moles en masa:

2,08\ g\ Fe(OH)_3\cdot \frac{292\ g}{1\ mol} = \bf 607,36\ g\ Fe_2(CO_3)_3