Descomposición del ácido nítrico por la luz (8094)

, por F_y_Q

El ácido nítrico se descompone, por acción de la luz, en dióxido de nitrógeno, oxígeno y agua. Si se obtienen 40.5 g de agua en la descomposición:

a) ¿Qué cantidad de ácido habrá reaccionado?

b) ¿Cuántos moles de dióxido de nitrógeno y oxígeno se obtienen?

c) ¿Qué volumen ocupa la mezcla de gases anterior en condiciones estándar (1 atm y 298 K)?

Masas atómicas: H = 1 ; N = 14 ; O = 16.

P.-S.

Lo primero que debes hacer el escribir la ecuación química del proceso:

\color[RGB]{0,112,192}{\textbf{\ce{2HNO3(ac) -> 2NO2(g) + \textstyle{1\over 2}O2(g) + H2O(l)}}}


a) Si conviertes la masa de agua en mol y aplicas la estequiometría de la reacción, puedes calcular los moles de ácido y su masa. Puedes hacerlo todo en un único paso usando los factores de conversión necesarios para ello:

40.5\ \cancel{\ce{g H2O}}\cdot \frac{1\ \cancel{\ce{mol H2O}}}{18\ \cancel{\ce{g H2O}}}\cdot \frac{2\ \cancel{\ce{mol}}\ \ce{HNO3}}{1\ \cancel{\ce{mol H2O}}}\cdot \frac{63\ g}{1\ \cancel{\ce{mol}}} = \fbox{\color[RGB]{192,0,0}{\textbf{283.5\ \ce{g HNO3}}}}


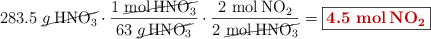
b) A partir de la masa de ácido calculada, puedes convertirla en moles y hacer la relación estequiométrica:

283.5\ \cancel{\ce{g HNO3}}\cdot \frac{1\ \cancel{\ce{mol HNO3}}}{63\ \cancel{\ce{g HNO3}}}\cdot \frac{2\ \ce{mol NO2}}{2\ \cancel{\ce{mol HNO3}}} = \fbox{\color[RGB]{192,0,0}{\textbf{4.5\ \ce{mol NO2}}}}


283.5\ \cancel{\ce{g HNO3}}\cdot \frac{1\ \cancel{\ce{mol HNO3}}}{63\ \cancel{\ce{g HNO3}}}\cdot \frac{0.5\ \ce{mol O2}}{2\ \cancel{\ce{mol HNO3}}} = \fbox{\color[RGB]{192,0,0}{\textbf{1.125\ \ce{mol O2}}}}


c) Los moles gaseosos totales son la suma de los moles calculados en el apartado anterior:

n_T = (4.5 + 1.125)\ \text{mol} = \color[RGB]{0,112,192}{\textbf{5.625\ \ce{mol}}}

Aplicas la ecuación de los gases ideales, despejando el volumen para su cálculo:

V = \frac{nRT}{P} = \frac{5.625\ \cancel{\text{mol}}\cdot 0.082\ \frac{\cancel{\text{atm}}\cdot \text{L}}{\cancel{\text{K}}\cdot \cancel{\text{mol}}}\cdot 298\ \cancel{\text{K}}}{1\ \cancel{\text{atm}}} = \fbox{\color[RGB]{192,0,0}{\bm{137.5\ L}}}