Moles, moléculas y átomos contenidos en un metro cúbico de metano (8156)

, por F_y_Q

En 1\ m^3 de metano (\ce{CH4}), medido en condiciones normales de presión y temperatura, calcula:

a) El número de moles de metano.

b) El número de moléculas de metano.

c) El número de átomos de hidrógeno.

P.-S.

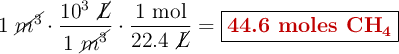
a) Si el gas está en condiciones normales de «P» y «T», puedes aplicar la definición de volumen molar, es decir, un mol del gas ocupa 22.4 L:

1\ \cancel{m^3}\cdot \frac{10^3\ \cancel{L}}{1\ \cancel{m^3}}\cdot \frac{1\ \text{mol}}{22.4\ \cancel{L}} = \fbox{\color[RGB]{192,0,0}{\textbf{44.6 moles \ce{CH4}}}}}


b) Si conviertes los moles anteriores a moléculas, usando el número de Avogadro:

44.6\ \cancel{mol}\cdot \frac{6.022\cdot 10^{23}\ \text{molec}}{1\ \cancel{mol}} = \fbox{\color[RGB]{192,0,0}{\bm{2.66\cdot 10^{25}\ molec}}}


c) Cada molécula de metano contiene cuatro átomos de hidrógeno:

2.66\cdot 10^{25}\ \cancel{molec}\cdot \frac{4\ at\ H}{1\ \cancel{molec}} = \fbox{\color[RGB]{192,0,0}{\bm{1.08\cdot 10^{26}\ at\ H}}}