Reacciones químicas: combustiones 0001
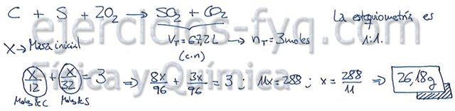
Una mezcla que contiene igual número de gramos de carbono y azufre da, por combustión, una mezcla de
y
que ocupa 67,2 L, medidos en c.n. Calcula la masa de cada elemento en la mezcla original.
Una mezcla que contiene igual número de gramos de carbono y azufre da, por combustión, una mezcla de
y
que ocupa 67,2 L, medidos en c.n. Calcula la masa de cada elemento en la mezcla original.