Reacción química: relación molar y másica entre sustancias 0001

, por F_y_Q

En un alto horno, el trióxido de dihierro (Fe_2O_3) se hace reaccionar con carbón de coque (C) y se produce hierro fundido (Fe). Calcula el número de moles de hierro que se obtienen por cada kilogramo del óxido con que se alimente al horno. Escribe la ecuación química ajustada y obtén:

a) La solución por el método de relación mol-mol.

b) La solución por el método de relación masa-masa.

P.-S.

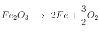
La reacción es: Fe_2O_3\ \to\ 2Fe + \frac{3}{2}O_2
a) Por cada mol que se queme de Fe_2O_3 se obtendrán 2 mol de Fe, para que se conserve la masa de hierro presente.
La masa molecular del Fe_2O_3: 2·56 + 3·16 = 160 g/mol

1\ 000\ g\ Fe_2O_3\cdot \frac{1\ mol}{160\ g}\cdot \frac{2\ mol\ Fe}{1\ mol\ Fe_2O_3} = \bf 12,5\ mol\ Fe


b) Si atendemos a la masa diremos que cada 160 g de Fe_2O_2 (1 mol de Fe_2O_3 se obtienen 112 g de Fe (2 mol de Fe):

1\ 000\ g\ Fe_2O_3\cdot \frac{112\ g\ Fe}{160\ g\ Fe_2O_3} = \bf 700\ g\ Fe


Si lo convertimos en moles:

700\ g\ Fe\cdot \frac{1\ mol}{56\ g} = \bf 12,5\ g\ Fe