Reacción de oxidación del sulfuro de bismuto (3487)

, por F_y_Q

En un horno se produce la siguiente reacción:

\ce{Bi2S3 + O2 -> Bi2O3 +SO2}

a) Ajusta la ecuación.

b) Calcula la masa de dióxido de azufre que se obtiene se obtiene al reaccionar 1 kg de \ce{Bi2S3} con cantidad suficiente de oxígeno.

c) Calcula la masa de oxígeno que reacciona completamente con 5 moles de \ce{Bi2S3}

P.-S.

a) Para ajustar la ecuación debes fijar la atención en los átomos singulares, es decir, los que no forman parte de todos los compuestos. Si lo haces con el azufre:

\fbox{\color[RGB]{192,0,0}{\textbf{\ce{Bi2S3 + \frac{9}{2}O2 -> Bi2O3 + 3SO2}}}}


b) Conviertes a moles la masa de \ce{Bi2S3} y para ello debes tener en cuenta las masas atómicas del S = 32 y Bi = 209:

1\ \cancel{kg}\cdot \frac{10^3\ \cancel{g}}{1\ \cancel{kg}}\cdot \frac{1\ \ce{mol Bi2S3}}{(2\cdot 209 + 3\cdot 32)\ \cancel{g}} = \color[RGB]{0,112,192}{\textbf{1.94 mol \ce{Bi2S3}}}

Teniendo en cuenta la estequiometría de la reacción:

1.94\ \cancel{\ce{mol Bi2S3}}\cdot \frac{3\ \ce{mol SO3}}{1\ \cancel{\ce{mol Bi2S3}}} = \color[RGB]{0,112,192}{\textbf{5.82 mol \ce{SO2}}}

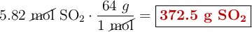
Conviertes estos moles en masa. La masa atómica del O = 16:

5.82\ \cancel{\text{mol}}\ \ce{SO2}\cdot \frac{64\ g}{1\ \cancel{\text{mol}}} = \fbox{\color[RGB]{192,0,0}{\textbf{372.5 g \ce{SO2}}}}


c) Si haces reaccionar 5 moles de \ce{Bi2S3} necesitarás:

5\ \cancel{\ce{mol Bi2S3}}\cdot \frac{4.5\ \ce{mol O2}}{1\ \cancel{\ce{mol Bi2S3}}} = \color[RGB]{0,112,192}{\textbf{22.5 mol \ce{O2}}}

La masa estos moles es:

22.5\ \cancel{\text{mol}}\ \ce{O2}\cdot \frac{32\ g}{1\ \cancel{\text{mol}}} = \fbox{\color[RGB]{192,0,0}{\textbf{720 g \ce{O2}}}}