Pureza de una muestra de cinc a partir de su reacción con HCl (4988)

, por F_y_Q

La reacción entre el cinc y el ácido clorhídrico produce cloruro de cinc e hidrógeno. Para determinar la riqueza de un cinc muy impuro se tomaron 5 g de muestra y se hicieron reaccionar con ácido clorhídrico en exceso. El volumen de hidrógeno producido fue de 824\ cm^3, medido a 1 atm y 298 K, ¿qué porcentaje de cinc hay en la muestra?

Datos: R = 0.082\ \frac{atm\cdot L}{K\cdot mol} ; Zn = 65.3 g/mol.

P.-S.

En primer lugar, es necesario que escribas la reacción ajustada:

\color[RGB]{2,112,20}{\textbf{\ce{Zn(s) + 2HCl(ac) -> ZnCl2(ac) + H2(g)}}}

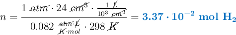
El único dato que puedes tomar como referencia es el volumen de hidrógeno que se ha producido porque el Zn es impuro y el HCl está en exceso. A partir de las condiciones en las que se ha obtenido el gas, puedes saber los moles de hidrógeno:

PV=nRT\ \to\ \color[RGB]{2,112,20}{\bm{n = \frac{PV}{RT}}}

Sustituyes y calculas:

n = \frac{1\ \cancel{atm}\cdot \824\ \cancel{cm^3}\cdot \frac{1\ \cancel{L}}{10^3\ \cancel{cm^3}}}{0.082\ \frac{\cancel{atm}\cdot \cancel{L}}{\cancel{K}\cdot mol}\cdot 298\ \cancel{K}} = \color[RGB]{0,112,192}{\bm{3.37\cdot 10^{-2}}\ \textbf{mol \ce{H2}}}

Según la estequiometría de la reacción, 1 mol de Zn produce 1 mol de \ce{H_2}, por lo que habrán reaccionado también 3.37\cdot 10^{-2}\ \ce{mol\ Zn}. Si conviertes en masa estos moles de cinc, puedes saber la masa de cinc puro que está contenida en la muestra:

3.37\cdot 10^{-2}\ \cancel{mol}\ Zn\cdot \frac{65.3\ g}{1\ \cancel{mol}} = \color[RGB]{0,112,192}{\bf 2.2\ g\ Zn}

La pureza la obtienes si haces el cociente entre los gramos de Zn puros y la masa de la muestra, multiplicando por 100 para expresarlo como un tanto por ciento:

r = \frac{2.2\ \cancel{g}}{5\ \cancel{g}}\cdot 100 = \fbox{\color[RGB]{192,0,0}{\bf 44\ \%}}