Problema ondas 0002 5521

, por F_y_Q

El nivel de ruido de una máquina perforadora, a una distancia de 0,5 m, es de 100 dB.

a) ¿Cuál es la intensidad de la onda asociada a esa sonoridad?

b) ¿A qué distancia deberíamos colocarnos para que la sonoridad fuese de 60 dB?

Desprecia los efectos de absorción del aire.

P.-S.

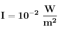
a) \bf I = 10^{-2}\ \frac{W}{m^2}

b) d = 50 m