Problema de gravitación: velocidad y periodo de la estación espacial internacional (427)

, por F_y_Q

Sabiendo que la estación espacial internacional gira alrededor de la Tierra en una órbita de 386 km de radio, calcula:

a) La velocidad a la que se mueve, expresada en km/h.

b) El tiempo que tarda en completar una órbita.

Datos: m_T = 5.98\cdot 10^{24}\ kg ; r_T = 6.37\cdot 10^6\ m

P.-S.

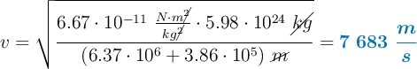
a) La velocidad con la que gira el satélite viene dada por la ecuación:

\color[RGB]{2,112,20}{\bm{v = \sqrt{\frac{G\cdot M}{d}}}}

siendo «d» la distancia al centro de la Tierra.

Si sustituyes los valores:

v = \sqrt{\frac{6.67\cdot 10^{-11}\ \frac{N\cdot m\cancel{^2}}{kg\cancel{^2}}\cdot 5.98\cdot 10^{24}\ \cancel{kg}}{(6.37\cdot 10^6 + 3.86\cdot 10^5)\ \cancel{m}}} = \color[RGB]{0,112,192}{\bm{7\ 683\ \frac{m}{s}}}

Para expresarlo en km/h basta con que hagas el cambio de unidades:

7\ 683\ \frac{\cancel{m}}{\cancel{s}}\cdot \frac{1\ km}{10^3\ \cancel{m}}\cdot \frac{3\ 600\ s}{1\ \cancel{h}} = \fbox{\color[RGB]{192,0,0}{\bm{2.77\cdot 10^4\ \frac{km}{h}}}}


b) La velocidad se define como la distancia recorrida entre el tiempo. Ese tiempo es el periodo, si consideras la distancia que recorre una vuelta completa del satélite en su órbita:

T = \frac{2\pi \cdot d}{v} = \frac{2\pi \cdot 6.75\cdot 10^6\ \cancel{m}}{7\ 683\ \frac{\cancel{m}}{s}} = \fbox{\color[RGB]{192,0,0}{\bm{5.53\cdot 10^3\ s}}}