Distancia entre dos esferas de masas conocidas para que se atraigan con una fuerza dada (6707)

, por F_y_Q

Halla la distancia que debe existir entre los centros de dos esferas de 45 y 90 kg de masa respectivamente, para que se atraigan con una fuerza de 2.7\cdot 10^{-9}\ N .

P.-S.

La ley de gravitación relaciona la fuerza con la que se atraen dos masas con el cuadrado de la distancia que las separa. Puedes despejar el valor de esa distancia a partir de la fórmula:

F = G\cdot \frac{m_1\cdot m_2}{d^2}\ \to\ \color[RGB]{2,112,20}{\bm{d = \sqrt{\frac{G\cdot m_1\cdot m_2}{F}}}}

Solo tienes que sustituir en la ecuación:

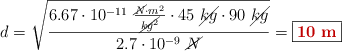
d = \sqrt{\frac{6.67\cdot 10^{-11}\ \frac{\cancel{N}\cdot m^2}{\cancel{kg^2}}\cdot 45\ \cancel{kg}\cdot 90\ \cancel{kg}}{2.7\cdot 10^{-9}\ \cancel{N}}} = \fbox{\color[RGB]{192,0,0}{\bf 10\ m}}


Descarga el enunciado y la resolución del problema en formato EDICO si lo necesitas.