Problema de disoluciones (75)

, por F_y_Q

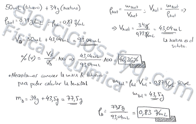
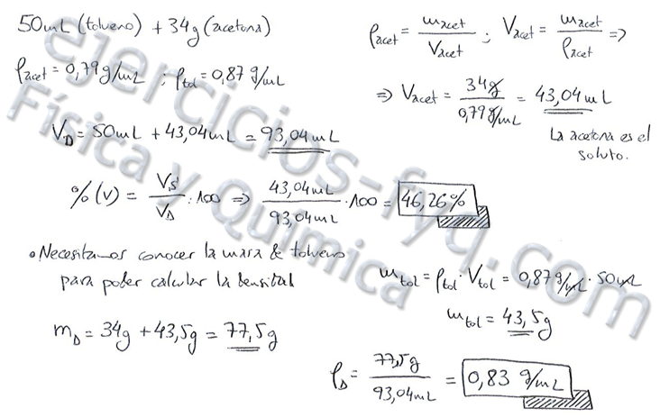
Mezclamos 50 mL de tolueno (d_T = 0.87\ \textstyle{g\over mL}) con 34 g de acetona (d_A = 0.79\ \textstyle{g\over mL}). Determina la concentración en \%\ (V) del soluto y la densidad de la mezcla (suponiendo que los volúmenes son aditivos).

P.-S.

\fbox{\color[RGB]{192,0,0}{\bf 46.26\%}} ; \fbox{\color[RGB]{192,0,0}{\bm{d = 0.83\ \frac{g}{mL}}}}
Si clicas en la miniatura podrás ver la resolución del problema con más detalle.