Presión en el interior de un neumático tras horas de rodaje

, por F_y_Q

La parte interior de un neumático de automóvil está bajo una presión manométrica de 28 Pa a 7^oC y con un volumen de 10 L de aire. Después de varias horas, la temperatura del aire interior sube a 320 K y su volumen aumenta un 10\%. ¿Cuál será la presión en el interior del neumático en ese momento?

P.-S.

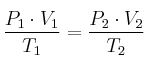
Dado que varían P, T y V en el sistema gaseoso cerrado, la ley de los gases a considerar será la ley general de los gases: \frac{P_1\cdot V_1}{T_1} =\frac{P_2\cdot V_2}{T_2}
Hay que tener mucho cuidado con las unidades. La temperatura ha de estar siempre en K (kelvin) por lo que la temperatura inicial será (7 + 273) = 280 K. Despejamos en la ecuación y sustituimos:

P_2 = \frac{P_1\cdot V_1\cdot T_2}{T_1\cdot V_2} = \frac{28\ Pa\cdot 10\ \cancel{L}\cdot 320\ \cancel{K}}{280\ \cancel{K}\cdot 11\ \cancel{L}} = \bf 29.1\ Pa