Potencia en función de la velocidad y la fuerza 0001

, por F_y_Q

Si una persona recorre una distancia de 500 m en 10 minutos, llevando una carga que implica una fuerza de 65 newtons, ¿qué potencia implica esta acción?

P.-S.

La potencia se puede definir en función de la fuerza y la velocidad. Su expresión sería: P = F\cdot v. Primero calculamos la velocidad a la que se mueve la persona:

v = \frac{d}{t} = \frac{500\ m}{10\cancel min\cdot \frac{60\ s}{1\cancel min}} = 0,83\frac{m}{s}


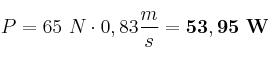
Ahora calculamos la potencia:

P = 65\ N\cdot 0,83\frac{m}{s} = \bf 53,95\ W