Posición final y distancia recorrida por una motocicleta con aceleración constante (6295)

, por F_y_Q

Una motocicleta parte del reposo desde una posición inicial situada a 300 m del punto de referencia y alcanza una velocidad de 108 km/h en un sexto de una hora. Calcula la posición final de la motocicleta y la distancia total recorrida.

P.-S.

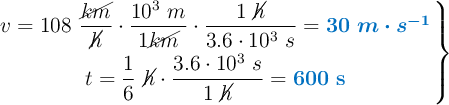
En primer lugar, debes convertir la velocidad y el tiempo a unidades SI:

\left v = 108\ \dfrac{\cancel{km}}{\cancel{h}}\cdot \dfrac{10^3\ m}{1 \cancel{km}}\cdot \dfrac{1\ \cancel{h}}{3.6\cdot 10^3\ s} = {\color[RGB]{0,112,192}{\bm{30\ m\cdot s^{-1}}}} \atop t = \dfrac{1}{6}\ \cancel{h}\cdot \dfrac{3.6\cdot 10^3\ s}{1\ \cancel{h}} = {\color[RGB]{0,112,192}{\bf 600\ s}} \right \}

Debes suponer que la motocicleta se mueve con un movimiento uniformemente acelerado y calculas la aceleración:

{\color[RGB]{2,112,20}{\bm{a = \frac{v - v_0}{t}}}} = \frac{(30 - 0)\ m\cdot s^{-1}}{600\ s} = \color[RGB]{0,112,192}{\bm{0.05\ m\cdot s^{-2}}}

La posición final de la motocicleta, con respecto a la referencia es:

{\color[RGB]{2,112,20}{\bm{r = r_0 + \cancelto{0}{v_0}\cdot t + \frac{1}{2}at^2}}} = 300\ m + \frac{0.05}{2}\ \frac{m}{\cancel{s^2}}\cdot 600^2\ \cancel{s^2} = \fbox{\color[RGB]{192,0,0}{\bf 9\ 300\ m}}


La distancia que recorre la motocicleta, si supones un movimiento rectilíneo, será:

{\color[RGB]{2,112,20}{\bm{d = r - r_0}}} = (9\ 300 - 300)\ m = \fbox{\color[RGB]{192,0,0}{\bf 9\ 000\ m}}