Posición del centro de masas de un sistema de cuatro cuerpos (7418)

, por F_y_Q

Un sistema natural se puede modelar con un conjunto de figuras geométricas que consiste en una esfera de radio r_1 = 9\ cm y densidad \rho_1 = 0.6\ \textstyle{g\over cm^3}, un cilindro de radio r_2 = 7 \ cm y altura h_2 = 10\ cm y dos esferas idénticas de radio r_3 = 4\ cm, siendo la densidad de estas tres últimas figuras geométricas \rho_2 = 0.98\ \textstyle{g\over cm^3}:

¿Cuál es la posición del centro de masas del sistema, respecto a los ejes de coordenadas sobre los que está representado?

P.-S.

Si tomas como origen de coordenadas la intersección de los dos ejes puedes concluir que el sistema está situado íntegramente en la parte positiva del eje Y y que es simétrico con respecto al eje X, es decir, los cuerpos 1 y 2 tienen sus centros geométricos sobre el eje Y y los cuerpos 3 y 4 están separados del eje Y una distancia idéntica; uno de ellos en la parte positiva del eje X y el otro en la parte negativa. La posición del centro de masas, por lo tanto, debe encontrarse sobre el eje Y. Para determinarla necesitas conocer las masas de los cuerpos y las puedes calcular a partir de sus densidades:

\rho_1 = \frac{m_1}{V_1}\ \to\ m_1 = \rho_1\cdot V_1 = 0.60\ \frac{g}{\cancel{cm^3}}\cdot \frac{4\pi}{3}\cdot 9^3\ \cancel{cm^3} = \color[RGB]{0,112,192}{\bf 1\ 831\ g}

m_2 = \rho_2\cdot V_2 = 0.98\ \frac{g}{\cancel{cm^3}}\cdot \pi\cdot 7^2\ \cancel{cm^2}\cdot 10\ \cancel{cm} = \color[RGB]{0,112,192}{\bf 1\ 508\ g}

m_3 = m_4 = \rho_2\cdot V_3 = 0.98\ \frac{g}{\cancel{cm^3}}\cdot \frac{4\pi}{3}\cdot 4^3\ \cancel{cm^3} = \color[RGB]{0,112,192}{\bf 263\ g}

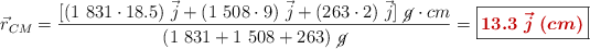
La posición del centro de masas sigue la siguiente ecuación:

\color[RGB]{2,112,20}{\bm{\vec{r}_{CM} = \frac{m_1\cdot \vec{r}_1 + m_2\cdot \vec{r}_2 + m_3\cdot \vec{r}_3 + m_4\cdot \vec{r}_4}{(m_1 + m_2 + m_3 + m_4)}}}

Los centros geométricos de cada una de las figuras se encuentran en las posiciones:

\vec{r}_3 = \vec{r}_4 = 2\ \vec j ; \vec{r}_2 = (4 + 5) = 9\ \vec j y \vec{r}_3 = (4 + 10 + 4.5) = 18.5\ \vec j

Sustituyes y calculas:

\vec{r}_{CM} = \frac{[(1\ 831\cdot 18.5)\ \vec j + (1\ 508\cdot 9)\ \vec j + (263\cdot 2)\ \vec j]\ \cancel{g}\cdot cm}{(1\ 831 + 1\ 508 + 263)\ \cancel{g}} = \fbox{\color[RGB]{192,0,0}{\bm{13.3\ \vec j\ (cm)}}}