Porcentaje en volumen de un güisqui 0001

, por F_y_Q

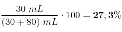
¿Cuál es el porcentaje en volumen de una disolución que contiene 30 mL de güisqui en 80 mL de agua?

P.-S.

El porcentaje en volumen se expresa como: \%(V/V) = \frac{V_S}{V_D}\cdot 100.
En el numerador se considera el volumen de soluto y en el denominador el volumen de disolución. Si consideramos que los volúmenes son aditivos, el volumen de la disolución será la suma del volumen de alcohol y el del agua:

\frac{30\ mL}{(30 + 80)\ mL}\cdot 100 = \bf 27,3\%