Porcentaje en volumen de hidróxido potásico 0001

, por F_y_Q

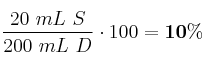
¿Cuál es el \% (V/V) de 20 mL de KOH en 200 mL de disolución?

P.-S.

El porcentaje en volumen es el cociente entre el volumen de soluto y el de disolución:

\frac{20\ mL\ S}{200\ mL\ D}\cdot 100 = \bf 10\%