Porcentaje en peso de una disolución 0002

, por F_y_Q

¿Cuántos gramos de C_{12}H_{22}O_{11} deberán ser disueltos en 60 g de agua para obtener una solución al 25\% en peso?

P.-S.

Una disolución al 25\% en peso es aquella que contiene 25 g de soluto por cada 100 g de disolución que se considere. La ecuación que nos permite hacer el cálculo es: \% = \frac{m_S}{m_D}\cdot 100
Cuidado porque la masa de la disolución es la suma de la masa del soluto y la masa del disolvente, por lo tanto podemos escribir:

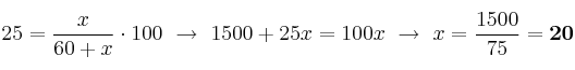
25 = \frac{x}{60 + x}\cdot 100\ \to\ 1500 + 25x = 100x\ \to\ x = \frac{1500}{75} = \bf 20


Por lo tanto serán necesarios 20 g de C_{12}H_{22}O_{11} para hacer la disolución.