Porcentaje en masa/volumen a partir de la molaridad

, por F_y_Q

Determina el \% (m/V) de una solución de H_3PO_4 0,68 M.

Datos: H = 1 ; P = 31 ; O = 16.

P.-S.

Para hacer el problema voy a tomar como base de cálculo un litro de la disolución, de manera que estarán contenidos 0,68 moles de H_3PO_4, porque su molaridad así lo indica. La masa molecular del ácido fosfórico es:
H_3PO_4:\ 3\cdot 1 + 1\cdot 31 + 4\cdot 16 = 98\frac{g}{mol}
La masa de ácido será, por lo tanto:
0,68\ mol\ H_3PO_4\cdot \frac{98\ g}{1\ mol} = 66,64\ g\ H_3PO_4
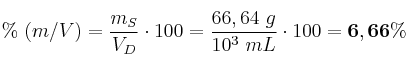
Ahora podemos hacer la concentración porcentual, teniendo en cuenta que el volumen ha de estar expresado en mL:

\%\ (m/V) = \frac{m_S}{V_D}\cdot 100 = \frac{66,64\ g}{10^3\ mL}\cdot 100 = \bf 6,66\%