Porcentaje en masa de una disolución de ácido nítrico

, por F_y_Q

Una disolución de ácido nítrico tiene una concentración del 42\% (m/V) y una densidad igual a 1,16 g/mL. Calcula su concentración en \% (m/m).

P.-S.

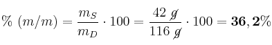
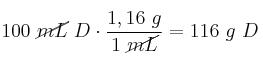
Si consideramos 100 mL de disolución como base de cálculo para hacer el problema, tendremos 42 g de soluto (que es lo que nos indica la concentración del 42\% (m/V). Usando la densidad de la disolución podemos saber qué masa de disolución suponen los 100 mL y luego hacer el porcentaje en masa:
100\ \cancel{mL}\ D\cdot \frac{1,16\ g}{1\ \cancel{mL}} = 116\ g\ D

\%\ (m/m) = \frac{m_S}{m_D}\cdot 100 = \frac{42\ \cancel{g}}{116\ \cancel{g}}\cdot 100 = \bf 36,2\%