Porcentaje de combustible que se emite como gas 0001

, por F_y_Q

Un automóvil consume 1 galón de combustible por cada 15 km recorridos. La densidad del combustible es de 6 lb/gal. El automóvil emite 0,41 g/km de dióxido de carbono. ¿Qué fracción (en porcentaje) del combustible alimentado al automóvil se emite?

P.-S.

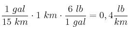
En primer lugar vamos a convertir el volumen de combustible en masa de combustible alimentado por kilómetro:

\frac{1\ gal}{15\ km}\cdot 1\ km\cdot \frac{6\ lb}{1\ gal} = 0,4\frac{lb}{km}


Para poder comparar la masa de combustible alimentado con la masa de emisión por kilómetro debemos expresarlo en gramos:

0,4\frac{lb}{km}\cdot \frac{453,6\ g}{1\ lb} = 181,4\frac{g}{km}


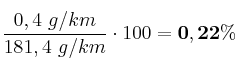
Ya solo nos queda hacer el porcentaje entre lo que emite y lo que consume:

\frac{0,4\ g/km}{181,4\ g/km}\cdot 100 = \bf 0,22\%