Peso de un bebé en el Sol

, por F_y_Q

Un bebé tuvo al nacer una masa de 3 800 gramos. ¿Cuál sería su peso en ese momento en el Sol?
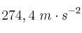
Dato: La aceleración de la gravedad en el Sol es 274,4\ m\cdot s^{-2}.

P.-S.

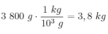
Primero vamos a convertir la masa a kg:
3\ 800\ g\cdot \frac{1\ kg}{10^3\ g} = 3,8\ kg
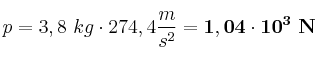
El peso es el producto de la masa por la aceleración de la gravedad, que en el caso del Sol es el dato que nos facilitan en el enunciado:

p = 3,8\ kg\cdot 274,4\frac{m}{s^2} = \bf 1,04\cdot 10^3\ N