Péndulo que choca contra un objeto y altura a la asciende por un plano inclinado (7442)

, por F_y_Q

Un péndulo de largo L = 2 m, en cuyo extremo tiene una masa m = 1 kg, se suelta desde el reposo desde una altura inicial h_i = 1\ m. Si al chocar con la caja de masa M = 0.5 kg el péndulo queda en reposo:

a) Determina la rapidez que adquiere la caja después de la colisión.

b) ¿Cuánto vale el impulso sobre la caja debido a la colisión?

c) ¿Hasta qué altura llega la caja cuando sube por el plano inclinado?

Para este problema considera que g = 9.8\ \textstyle{m\over s^2} .

P.-S.

La forma más simple de resolver este problema es aplicar el principio de la conservación de la energía, suponiendo que no hay rozamiento porque el enunciado no indica lo contrario.

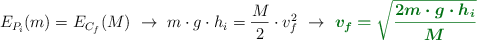
a) Como sabes la altura desde la que se deja caer la masa del péndulo la energía potencial de esa masa será igual a la energía cinética que adquiere la caja tras la colisión, supuesta perfectamente elástica porque el péndulo queda en la posición de la caja tras el choque:

E_{P_i}(m) = E_{C_f}(M)\ \to\ m\cdot g\cdot h_i = \frac{M}{2}\cdot v_f^2\ \to\ \color[RGB]{2,112,20}{\bm{v_f = \sqrt{\frac{2m\cdot g\cdot h_i}{M}}}}

Conoces los valores y puedes sustituir y calcular:

v_f = \sqrt{\frac{2\cdot 1\ \cancel{kg}\cdot 9.8\ \frac{m}{s^2}\cdot 1\ m}{0.5\ \cancel{kg}}} = \fbox{\color[RGB]{192,0,0}{\bm{6.26\ \frac{m}{s}}}}


b) El impulso mecánico sobre la caja es igual a la variación de su cantidad de movimiento:

F\cdot t = \Delta p\ \to\ I = M\cdot (v_f - \cancelto{0}{v_0})\ \to\ \color[RGB]{2,112,20}{\bm{I = M\cdot v_f}}

El cálculo del impulso es automático:

I = 0.5\ kg\cdot 6.26\ \frac{m}{s} = \fbox{\color[RGB]{192,0,0}{\bf 3.13\ N\cdot s}}


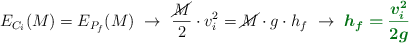
c) La caja subirá por el plano inclinado hasta que su energía cinética se transforme en energía potencial. Como te preguntan por la altura, la distancia que recorre por el plano, al no haber rozamiento, es irrelevante:

E_{C_i}(M) = E_{P_f}(M)\ \to\ \frac{\cancel{M}}{2}\cdot v_i^2  = \cancel{M}\cdot g\cdot h_f\ \to\ \color[RGB]{2,112,20}{\bm{h_f = \frac{v_i^2}{2g}}}

Sustituyes y calculas:

h_f = \frac{6.26^2 \frac{m\cancel{^2}}{\cancel{s^2}}}{2\cdot 9.8\ \frac{\cancel{m}}{\cancel{s^2}}} = \fbox{\color[RGB]{192,0,0}{\bf 2\ m}}