Notación científica (3163)

, por F_y_Q

Expresa el numero 464.51\cdot 10^{-5} en notación científica.

P.-S.

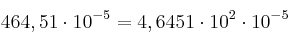
La notación científica se debe expresar con solo un dígito en la parte entera del número. Para ello es necesario desplazar el punto separador de la parte decimal dos pasos a la izquierda, con lo que equivale a un factor 10^ 2. Luego solo tienes que operar con las potencias de diez:

464.51\cdot 10^{-5} = 4.6451\cdot (10^2)\cdot 10^{-5} = \fbox{\color[RGB]{192,0,0}{\bm{4.6451\cdot 10^{-3}}}}