Radio y cantidad de bolas que caben en un depósito (6859)

, por F_y_Q

En un depósito de 6 \ m^3 de volumen se pueden colocar 2.4\cdot 10^9 bolitas de acero. ¿Cuántas podremos introducir en un depósito de 1 \ dm^3? ¿Cuál es el radio de las bolitas de acero, expresado en cm?

P.-S.

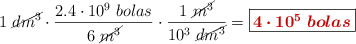
En primer lugar debes calcular el número de bolas que caben en el depósito:

1\ \cancel{dm^3}\cdot \frac{2.4\cdot 10^9\ bolas}{6\ \cancel{m^3}}\cdot \frac{1\ \cancel{m^3}}{10^3\ \cancel{dm^3}} = \fbox{\color[RGB]{192,0,0}{\bm{4\cdot 10^5\ bolas}}}


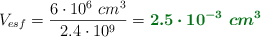
El volumen de una bolita, expresado en centímetros cúbicos, es:

V_{esf} = \frac{6\cdot 10^6\ cm^3}{2.4\cdot 10^9} = \color[RGB]{2,112,20}{\bm{2.5\cdot 10^{-3}\ cm^3}}

A partir de la fórmula del volumen de una esfera puedes despejar el valor del radio y sustituir para calcularlo:

V = \frac{4}{3}\cdot \pi\cdot r^3\ \to\ r = \sqrt[3]{\frac{3V}{4\pi}} = \sqrt[3]{\frac{3\cdot 2.5\cdot 10^{-3}\ cm^3}{4\cdot 3.14}} = \fbox{\color[RGB]{192,0,0}{\bm{8.42\cdot 10^{-2}\ cm}}}