Normalidad y molaridad de una disolución de HCl sabiendo su densidad y porcentaje en masa

, por F_y_Q

Se dispone de ácido clorhídrico de densidad 1,2 g/mL y 39\% (m/m) de concentración. Calcula la normalidad y la molaridad de la disolución.

P.-S.

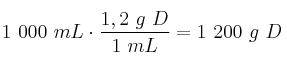
Vamos a considerar 1 L de disolución. La masa de la disolución será:
1\ 000\ mL\cdot \frac{1,2\ g\ D}{1\ mL} = 1\ 200\ g\ D
Como la concentración es del 39\%:

1\ 200\ g\ D\cdot \frac{39\ g\ HCl}{100\ g\ D} = 468\ g\ HCl


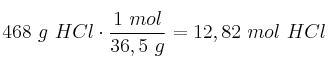
La masa molecular del HCl es: 1·1 + 1·35,5 = 36,5 g/mol:

468\ g\ HCl\cdot \frac{1\ mol}{36,5\ g} = 12,82\ mol\ HCl


La molaridad de la disolución será entonces 12,82 M y su normalidad, al ser un ácido monoprótico, también será 12,82 N.