Solubilidad: porcentaje en masa de disoluciones saturadas de sal y sacarosa (7845)

, por F_y_Q

La sacarosa se disuelve en agua rápidamente, a una velocidad hasta seis veces mayor que la sal. Si las solubilidades de la sacarosa y la sal son, respectivamente, 204 y 36 g por cada 100 g de agua:

a) Expresa esos valores en porcentaje en masa.

b) ¿Qué masa de agua necesitaríamos para disolver 100 g de cada sustancia?

P.-S.

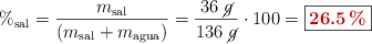
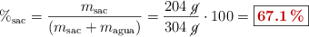
a) Para hacer este apartado debes considerar que haces disoluciones saturadas de cada sustancia. Conoces las masas de soluto en ambos casos y la masa total sería la suma de la masa de soluto y los 100 g de agua:

\%_{\text{sac}} = \frac{m_{\text{sac}}}{(m_{\text{sac}} + m_{\text{agua}})} = \frac{204\ \cancel{g}}{304\ \cancel{g}}\cdot 100 = \fbox{\color[RGB]{192,0,0}{\bf 67.1\%}}


\%_{\text{sal}} = \frac{m_{\text{sal}}}{(m_{\text{sal}} + m_{\text{agua}})} = \frac{36\ \cancel{g}}{136\ \cancel{g}}\cdot 100 = \fbox{\color[RGB]{192,0,0}{\bf 26.5\%}}


b) Ahora solo tienes que tomar como referencia los 100 g de cada sustancia y usar el dato de la solubilidad como un factor de conversión:

100\ \cancel{\text{g\ sac}}\cdot \frac{100\ \text{g\ agua}}{204\ \cancel{\text{g\ sac}}} = \fbox{\color[RGB]{192,0,0}{\textbf{49\ \text{g\ agua}}}}


100\ \cancel{\text{g\ sal}}\cdot \frac{100\ \text{g\ agua}}{36\ \cancel{\text{g\ sal}}} = \fbox{\color[RGB]{192,0,0}{\textbf{278\ \text{g\ agua}}}}