Normalidad de un ácido y una base 0001

, por F_y_Q

Calcula la normalidad de una disolución formada por 15 g de cada una de las siguientes sustancias en 100 mL de agua: a) H_2SO_4 ; b) KOH

P.-S.

Debemos calcular los equivalentes de cada sustancia. Vamos a determinar primero sus moles:
15\ g\ H_2SO_4\cdot \frac{1\ mol}{98\ g} = 0,153\ mol\ H_2SO_4
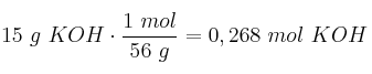
15\ g\ KOH\cdot \frac{1\ mol}{56\ g} = 0,268\ mol\ KOH
Ahora debemos observar que cuando estas sustancias se ponen en agua se descomponen de la siguiente manera:
H_2SO_4\ \to\ SO_4^{2-} + 2H^+
KOH\ \to\ K^+ + OH^-
Esto quiere decir que el H_2SO_4 produce el DOBLE de H^+ que H_2SO_4 había al principio, mientras que el KOH produce el MISMO número de OH^-. Por lo tanto el número de equivalentes del H_2SO_4 será el doble de los moles calculados para esta sustancia, mientras que los equivalentes coincidirán con el número de moles calculados para el KOH. Ahora podemos calcular las normalidades, N = \frac{equiv\ S}{V_D\ (L)}:

N_{H_2SO_4} = \frac{2\cdot 0,153\ eq}{0,1\ L} = \bf 3,06\ N


N_{KOH} = \frac{0,268\ eq}{0,1\ L} = \bf 2,68\ N