Neutralización: concentración del ácido 0001

, por F_y_Q

Se valoran 12 mL de una disolución de HCl con NaOH 0,01 N. El indicador utilizado vira cuando se han añadido 27,3 mL de hidróxido de sodio. Calcula la normalidad de la disolución de HCl.

P.-S.

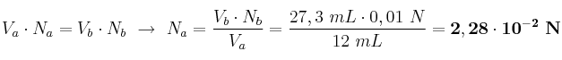
Aplicamos que el número de equivalentes de base y ácido ha de ser el mismo. Dado que se trata de un ácido y una base fuertes vamos a tener en cuenta solo las concentraciones y los volúmenes:

V_a\cdot N_a = V_b\cdot N_b\ \to\ N_a = \frac{V_b\cdot N_b}{V_a} = \frac{27,3\ mL\cdot 0,01\ N}{12\ mL} = \bf 2,28\cdot 10^{-2}\ N