Cálculo del pH de una disolución de NaOH 0001

, por F_y_Q

Una solución se prepara con 2 g de NaOH llevados hasta 500 mL de solución. ¿Cuál es el pH de la mezcla?

P.-S.

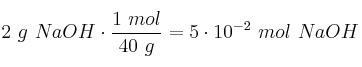
La masa molecular del NaOH es 23·1 + 16·1 + 1·1 = 40 g/mol. Los 2 g de NaOH son:
2\ g\ NaOH\cdot \frac{1\ mol}{40\ g} = 5\cdot 10^{-2}\ mol\ NaOH
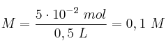
El volumen de la disolución es 0,5 L, por lo que la molaridad será:
M = \frac{5\cdot 10^{-2}\ mol}{0,5\ L} = 0,1\ M
Al ser una base fuerte estará completamente disociada, por lo que la concentración de OH^- coincidirá con la molaridad calculada. El pOH es: pOH = -log[OH^-]
Calculamos el pOH y luego haremos el cálculo del pH:

pOH = -log[OH^-] = -log\ 0,1 = 1

pH + pOH = 14\ \to\ pH = 14 - pOH = \bf 13